Statistika letova sa aerodroma u Beogradu i Nišu za prvih šest meseci 2024. godine

   
Čitanje: oko 1 min.
  • 0

Sezonalnost u avio saobraćaju ima značajan uticaj u regionu bivše Jugoslavije, kao i u širem evropskom i mediteranskom prostoru. Taj uticaj se ogleda u varijacijama u broju letova, kapacitetu aviona, i broju putnika tokom različitih delova godine, a prvenstveno zavisi od turističke potražnje, vremenskih uslova, kao i ekonomskih faktora.

U zemljama bivše Jugoslavije, sezonalnost je posebno izražena tokom letnjih meseci (jun, jul, avgust). Ovaj period karakteriše veliki priliv turista, posebno ka Mediteranu. Avio kompanije povećavaju broj letova prema popularnim turističkim destinacijama. Čarter letovi i sezonske linije postaju uobičajeni, a kapaciteti aviona su u tom periodu maksimalno iskorišćeni.

U zimskom periodu, potražnja za letovima opada, a avio-kompanije smanjuju kapacitete i broj linija na mnogim rutama. U regionu generalno, zimska sezona donosi znatno smanjenje putničkog saobraćaja.

Tokom letnje sezone, avio-kompanije iz regiona i inostranstva otvaraju sezonske linije ka najpopularnijim turističkim destinacijama. Ove sezonske linije direktno utiču na povećanje broja letova i prihoda u letnjim mesecima.

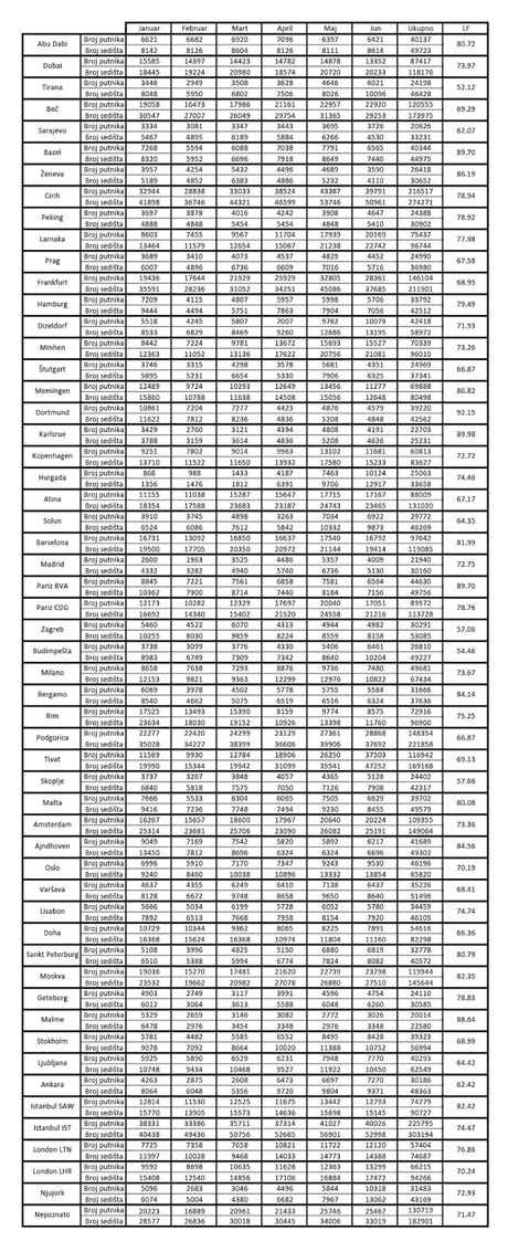
Nedavno je Eurostat objavio podatke o broju putnika i dostupnom broju sedišta zbirno prema destinacijama po mesecima u prvih šest meseci na letovima iz/za Aerodrom Nikola Tesla, Beograd sa ukupnim faktorom popunjenosti putničke kabine (LF).

aero tabele Foto: Luka Kaluđerović
NIŠ AERODROM PREDSEDNIK Foto: Tanjug/Sava Radovanović

Podaci o broju putnika i dostupnom broju sedišta zbirno prema destinacijama po mesecima u prvih šest meseci na letovima iz/za Aerodrom Konstantin Veliki, Niš sa ukupnim faktorom popunjenosti putničke kabine (LF). Izvor: Eurostat

aero tabele Foto: Luka Kaluđerović

U dostupnim podacima koje je objavio Eurostat nema svih linija iz Beograda i Niša.

Sezonalnost ima veliki uticaj na avio saobraćaj u regionu, posebno u zemljama sa izraženim letnjim turizmom. Tokom vrhunca letnje sezone, broj letova se značajno povećava, dok zimski meseci donose smanjenje saobraćaja. Ovaj obrazac sezonalnosti utiče na poslovne odluke avio-kompanija, aerodroma i turističkih organizacija, a avio saobraćaj u regionu ostaje u velikoj meri zavisan od sezonskih fluktuacija u potražnji.

(Aero.rs)

Video: Beograd spojen sa Astanom redovnim letom: Konferencija za medije SCAT Airlines u Beogradu

Podelite vest:

Pošaljite nam Vaše snimke, fotografije i priče na broj telefona +381 64 8939257 (WhatsApp / Viber / Telegram).

Aero Telegraf zadržava sva prava nad sadržajem. Za preuzimanje sadržaja pogledajte uputstva na stranici Uslovi korišćenja.

Komentari

  • Eur: <% exchange.eur %>
  • Usd: <% exchange.usd %>